14+ Iron Temperature Chart
Iron Charge State Distribution Of A Nlte Iron Plasma At Download Scientific Diagram

Energies Free Full Text A New Evaluation Method Of Shale Oil Sweet Spots In Chinese Lacustrine Basin And Its Application
Development Of A Fast Cme And Properties Of A Related Interplanetary Transient Springerlink
How Do We Measure Weather Weather Instruments Twinkl
Tesla Info Clothes Ironing Temperatures
Iron Temperature Settings The Comprehensive Guide For Ironing Any Fabric
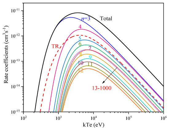
Atoms Free Full Text Theoretical Investigation Of Electron Ndash Ion Recombination Process Of Mg Like Gold
Periodic Table Of Elements 2024 Refresher Commodity Com
Iron Temperature Settings Cheat Sheet For All Fabrics
Iron Charge State Distribution Of A Nlte Iron Plasma At Download Scientific Diagram
Select The Right Setting For Ironing Any Fabric
Using The Fire
Cobalt Ii Pentaaza Macrocyclic Schiff Base Complex As Catalyst For Light Driven Hydrogen Evolution In Water Electrochemical Generation And Theoretical Investigation Of The One Electron Reduced Species Inorganic Chemistry
Modeling Of Spin Crossover In Iron Ii Complexes With N4s2 Coordination The Journal Of Physical Chemistry C
Iron Temperature Settings The Comprehensive Guide For Ironing Any Fabric
Iron Temperature Settings The Comprehensive Guide For Ironing Any Fabric
Electronic Effects Of Ligand Substitution On Spin Crossover In A Series Of Diiminoquinonoid Bridged Feii2 Complexes Inorganic Chemistry
Temperature Charts